| 2.3 二元連立非線形方程式(ニュートン法) | 
n 元連立非線形方程式は一般に
  f1(x1, x2, ..., xn) = 0,
  f2(x1, x2, ..., xn) = 0,
   ... ... ... ... ...
  fn(x1, x2, ..., xn) = 0
と書くことができる。これをベクトル表記すると
  f (x)
 = 0
となる。
このとき、ニュートン法の計算式は
  xk+1
 = xk
 + u (xk)
      = xk
 - J (xk)-1
 f (xk)
となる。ここに、
J (xk)
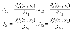
はヤコビ行列と呼ばれ、
  
であり、また、
u (x)
 = - J (x)-1
 f (x)
である。
2変数の場合は、逆行列が簡単に求められるので
  
ここに
  
 1: /*
 2:     newton2.c: 2変数のニュートン法
 3:     x2+y2=1, y=x3 -> (x,y)=(0.826,0.5636),(-0.826,-0.5636)
 4:  */
 5: #include <stdio.h> // printf, fprintf, fgets, sscanf
 6: #include <math.h>  // hypot(hypotenuse): 直角三角形の斜辺を求める関数
 7:
 8: double f1(double x, double y)
 9: {
10:     return x * x + y * y - 1; //  f1(x,y) = x2 + y2 - 1
11: }
12: double f2(double x, double y)
13: {
14:     return x * x * x - y;     //  f2(x,y) = x3 - y
15: }
16: 
17: double J11(double x, double y)
18: {
19:     return 2 * x;     //  df1(x,y)/dx = 2x
20: }
21: double J12(double x, double y)
22: {
23:     return 2 * y;     //  df1(x,y)/dy = 2y
24: }
25: double J21(double x, double y)
26: {
27:     return 3 * x * x; //  df2(x,y)/dx = 3x2
28: }
29: double J22(double x, double y)
30: {
31:     return -1;        //  df2(x,y)/dy = -1
32: }
33: 
34: int ucalc(double x, double y, double *ux, double *uy)
35: /*
36:     u = -J-1(x)*f(x)
37:  */
38: {
39:     double det;
40: 
41:     det = J11(x, y) * J22(x, y) - J12(x, y) * J21(x, y);
42:     *ux = -1 / det * (J22(x, y) * f1(x, y) - J12(x, y) * f2(x, y));
43:     *uy =  1 / det * (J21(x, y) * f1(x, y) - J11(x, y) * f2(x, y));
44:     return 0;
45: }
46: 
47: int newton2(double *x, double *y, double eps)
48: {
49:     int n=0;
50:     double x0, y0, ux, uy, err;
51: 
52:     printf("# n, x, y, err\n");
53:     printf("%4d, % .15e, % .15e\n", n, *x, *y);
54:     do {
55:         n++;
56:         x0 = *x; y0 = *y;
57:         ucalc(*x, *y, &ux, &uy);
58:         *x += ux; *y += uy;        // xk+1 = xk + u(xk)
59:         err = hypot(*x - x0, *y - y0);
60:         printf("%4d, % .15e, % .15e, % .15e\n", n, *x, *y, err);
61:     } while (err >= eps);
62:     return 0;
63: }
64: //  ------------    Main    ------------
65: int main(void)
66: {
67:     double x=1, y=0.5, eps = 1e-10;
68:     char s[128];
69:
70:     fprintf(stderr, "# x0 y0 = "); fgets(s, 128, stdin); sscanf(s, "%lf%lf", &x, &y);
71:     newton2(&x, &y, eps);
72:     printf("\n# (x y) = (% .15e % .15e)\n", x, y);
74:     return 0;
75: }
"# x0 y0 = 1 0.5" と入力したときの実行結果とグラフは